本文为2024统计模型期末试卷回忆版,既作为课程复习笔记,也希望通过系统梳理,加深对算法思想与应用场景的认识。

  • 其中,简答题8道+计算题5道
  • 2024版简答题新增了部分我认为会考的内容作为复习,所以有12道,实际只有8道
  • 2025统计模型计算题新增了 Γ函数 作为考点,其他的题目大同小异。
  • 回忆版仅供参考。

简答题

  • 简述 EM 算法的基本思想、主要步骤,并说明其优缺点与应用场景。
  • 何为聚类?简述 K-means 聚类算法的基本流程及其优缺点。
  • 什么是层次聚类?写出两种常用的簇间距离计算方法及其变种。
  • 简述分类问题中的:二分类、多分类、多标签分类与排序问题的区别及应用场景。
  • 简述训练集、验证集、测试集在分类问题中的作用与区别。
  • 简述决策树分类算法,并说明 C4.5 相比 ID3 的主要改进。
  • 给出泊松分布的概率密度函数,描述参数k和的含义。
  • 给出正态分布的概率密度函数,以及均值和方差。
  • 写出四种常见概率分布(二项分布、Poisson、指数、正态),并说明各自应用场景。
  • 什么是 N-Gram 模型?解释 Unigram、Bigram、Trigram,并说明其在语言建模中的作用。
  • 给出NLP的典型任务,以及其特征应用。
  • 什么是词项-文档矩阵,如何构造?

计算题

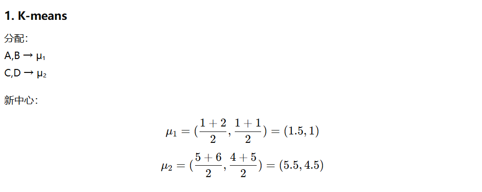
  • K-means 聚类算法计算

    给定如下样本点:
    A(1,1),B(2,1),C(5,4),D(6,5)
    初始聚类中心为 μ₁(1,1),μ₂(5,4)。

    请完成 第一次 K-means 迭代
    ① 样本分配
    ② 计算新的聚类中心

    image-20260101212137596

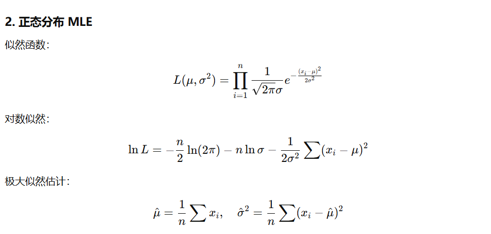
  • 正态分布极大似然估计

    给定样本 x1,x2,…,xn来自正态分布 N(μ,σ2)

    ① 写出似然函数hexo clean
    ② 写出对数似然函数
    ③ 对参数求偏导,给出 μ 和 σ2 的极大似然估计值

    image-20260101212150711

  • 朴素贝叶斯分类计算

    已知某分类问题中先验概率和条件概率如下:

    P(C1)=0.6, P(C2)=0.4
    P(x∣C1)=0.2, P(x∣C2)=0.5

    使用全概率公式计算后验概率 P(C1∣x) 与 P(C2∣x) ,并给出分类结果。

    image-20260101212204905

  • Bigram 语言模型计算

    语料为:
    I love machine learning

    ① 写出该句子的 Bigram 表示
    ② 计算句子概率

    image-20260101212216578

  • 词袋模型计算

    给定语料库:
    文档1:I love NLP
    文档2:I love machine learning

    ① 构建词汇表
    ② 构造对应的词项–文档矩阵

    image-20260101212254957